Inhaltsverzeichnis
E-Prüfungen mit bwLehrpool (Administratoren)
E-Prüfungen stellen einen festen Bestandteil der Hochschullandschaft dar und werden an Zahl und Häufigkeit weiter zunehmen. bwLehrpool entlastet das technische Personal auch bei Prüfungen, da vom Lehrpersonal erstellte Umgebungen (vulgo: Veranstaltungen) ebenso zur Prüfung wie zur Lehre verwendet werden können, und zur Verwendung adminseitig nur wenige Handgriffe nötig sind.
Diese Seite soll lediglich eine Kurzreferenz1) zum reibungslosen Ablauf von E-Prüfungen für das selten unter Langeweile leidende Adminpersonal liefern. Informationen zum Betrieb eines Satellitenservers allgemein im Satellitenserverhandbuch, hierzu speziell unter Prüfungsmodus.
Prüfungsadmins
Über das Rechtemanagement des Satellitenservers können „Prüfungsadmin“-Rollen erstellt und damit delegiert werden. Hierzu steht eine direkt kopierbare Vorlage „Prüfungsadmin - kann E-Prüfungen verwalten“ bereit. Der kopierten Rolle müssen dann im wesentlichen nur noch die verwalteten Räume bzw. Raumhierarchien zugeteilt werden.
Ablauf
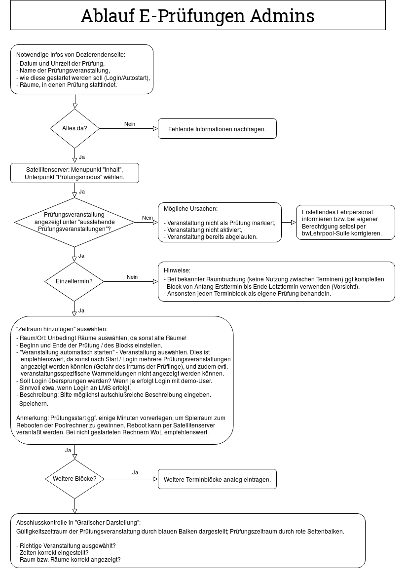
Nebenstehende Abbildung zeigt den schematischen Ablauf einer E-Prüfung. Eine druckbare pdf-Version des kann hier heruntergeladen werden.
Informationen
Im Prinzip werden folgende Informationen für eine E-Prüfung benötigt:
- Datum und Uhrzeit der Prüfung,
- Name der Prüfungsveranstaltung,
- wie diese gestartet werden soll (Login/Autostart),
- Räume, in denen die Prüfung stattfindet.
Zeitraum hinzufügen
Räume
Der erste Schritt besteht üblicherweise im Hinzufügen eines Zeitraums (Menu Prüfungsmodus, grüne Schaltfläche nach „Alle Prüfungszeiträume“).
Ein Klick auf die Schaltfläche „Räume“ öffnet eine Liste, ein Linksklick markiert einen Raum. Weitere Linksklicks markieren weitere Räume; erneuter Linksklick auf einen Raum de-markiert.
Datum/Uhrzeit
Stellen Sie in den Datumsfeldern Beginn und Ende des Zeitraums ein; legen Sie den Prüfungsstart ggf. einige Minuten vor, um Spielraum zum Starten bzw. Rebooten der Poolrechner zu gewinnen.
Wenn die E-Prüfung in mehreren Zeitblöcken stattfindet, sollte je Block ein eigener Zeitraum eingetragen werden, wenn nicht sicher ist, ob die betreffenden Räume in der Zwischenzeit anderweitig genutzt werden. Nach dem Eintragen des ersten Zeitblocks kann dieser per Schaltfläche unter „Ausstehende Prüfungsveranstaltungen“ kopiert und geändert werden.
Veranstaltungsstart
Üblicherweise empfiehlt es sich, die zur Prüfung vorgesehene Veranstaltung automatisch starten zu lassen, da sonst nach dem Start der Rechner bzw. beim Login mehrere Prüfungsveranstaltungen angezeigt werden könnten (wenn mehr als eine für diesen Raum gültige Veranstaltung als Prüfung markiert wurde). Zudem erfolgen dann natürlich keine evtl. Warnmeldungen zu einer bestimmten Veranstaltung.
Wenn das Login übersprungen wird, erfolgt ein automatisches Login mit dem lokalen demo-Account. Dies hängt von der Art der Prüfung ab und sollte vom Lehrpersonal bestimmt werden. Diese Möglichkeit ist sinnvoll, wenn die Prüfungsanmeldung gesondert erfolgt, z.B. an einem LMS.
Beschreibung
Wie immer gilt: Bitte eine möglichst aufschlußreiche Beschreibung eingeben.
Prüfungsbeginn
Ein Wechsel in den Prüfungsmodus erfolgt, wenn die Clientrechner nach dem Beginn eines Prüfungszeitraums gestartet bzw. rebootet werden. Sind Clientrechner vor diesem Zeitpunkt bereits in Betrieb, erfolgt kein automatischer Wechsel. In Betrieb befindliche Clients müssen also neu gestartet werden. Bereits unter bwLehrpool gestartete Rechner können immer per Satellitenserver rebootet werden; zum Starten empfiehlt sich Wake-on-Lan (beides hier beschrieben).
Weisen Sie im Zweifelsfall das Lehrpersonal darauf hin, die Rechner neuzustarten!
Prüfungsende
Hier gilt sinngemäß dasselbe wie bei Prüfungsbeginn: Die Clients verlassen den Prüfungsmodus, wenn der Prüfungszeitraum abgelaufen ist und ein Neustart erfolgt. Veranlassen Sie, wenn terminlich nötig, einen Reboot, oder weisen Sie die Prüfenden darauf hin.
